Skip to main content
U
niversity
of
W
isconsin
–Madison
UW Crest
Physics Instrument Shop
Search
Menu
open menu
close
About
Services
Expand
Collapse
Work Orders
Stock Orders
Gallery
Student Shop
Resources
Expand
Collapse
Software/Texts
Suppliers
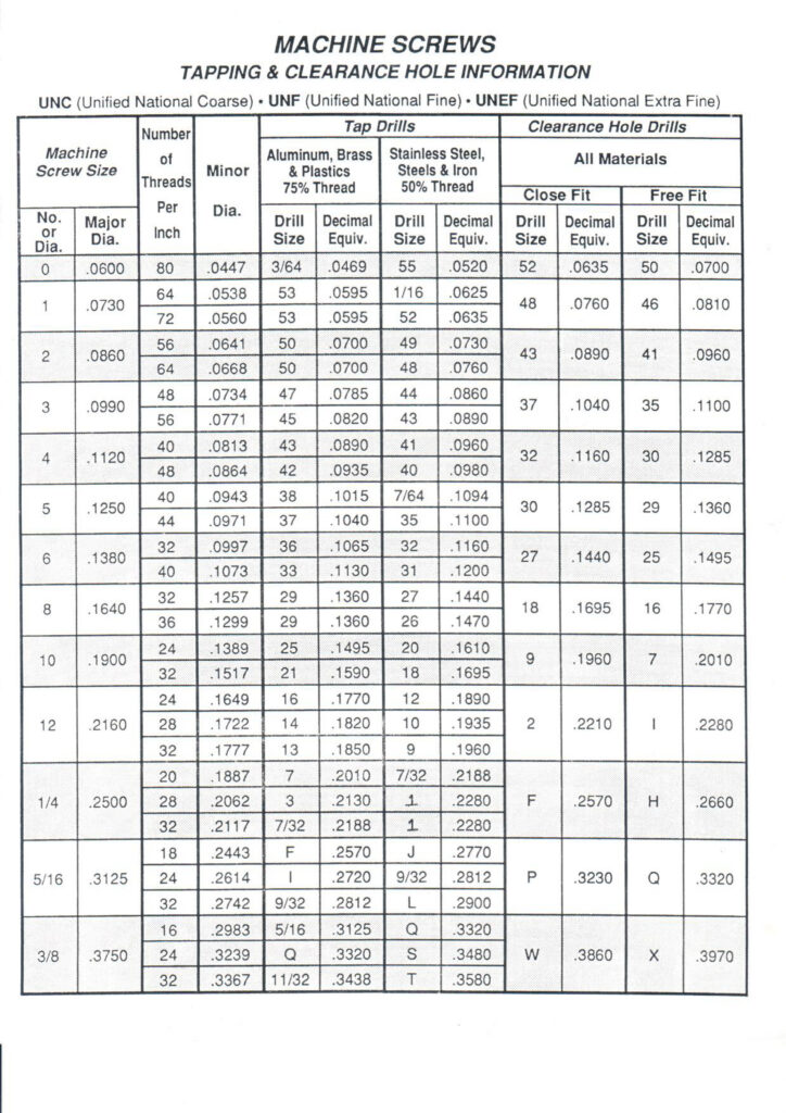
Charts
Log in
Home
Charts
Charts